Field Precision Title

Optimized geometry for an electrostatic quadrupole with rod electrodes

Package Electrostatics Toolkit
Input files ExVarL.png, LinearityL.png, RodQuad.SCR,RodQuad.xls, RodQuad025.EIN, RodQuad025.MIN, ..., RodQuad150.EIN,RodQuad150.MIN
Download RodQuad.zip
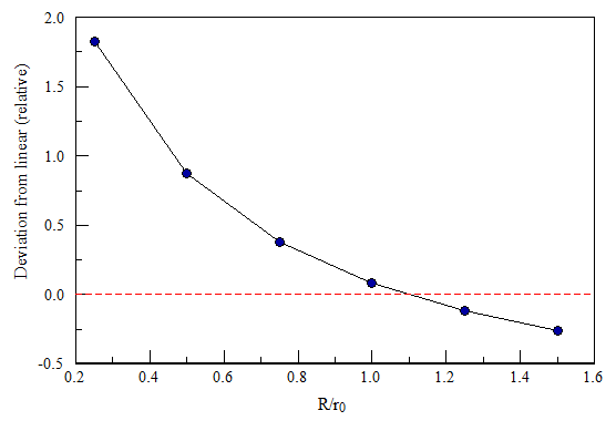
Description Electrodes with hyperbolic surfaces are required for an ideal quadrupole electric field, but circular rods can give a good approximation. The purpose of this exercise is to find the best choice of the rod radius R compared to the central bore radius r0 (the minimum distance from the axis to an electrode tip). A set of 6 input files is used to check a range of values. Also included is a spreadsheet to investigate the comparitive linearity of the electric fields along the horizontal axis and a script for automatic generation of field scans for the six cases.
Results For the choice R = r0, the electric field is almost perfectly linear with an amplitude within 0.7% of the value generating by a hyperbolic electrode with the same value of r0.
Comments The results were applied in the tutorial Modeling quadrupole mass analyzers.